Als je vertaalfouten ziet, kun je ons hierover schrijven op het forum.
Социометрические индексы
Выделяют два типа социометрических индексов:- персональные социометрические индексы;
- групповые.
Первые характеризуют индивидуальные социально-психологические свойства личности в роли члена группы. Вторые дают числовые характеристики целостной социометрической конфигурации выборов в группе. Они описывают свойства групповых структур общения.
Персональные социометрические индексы
Основными персональными социометрическими индексами являются:
- индекс социометрического статуса i-члена;
- индекс эмоциональной экспансивности j-члена;
- индекс объема интенсивности и концентрации взаимодействия ij-члена.
Символы i и j обозначают одного и того же члена группы, но в разных ролях:
- i – объект выбора;
- j – субъект выбора;
- ij – совмещение ролей.
Индекс социометрического статуса i-члена группы
Социометрический статус – это свойство личности как элемента социометрической структуры занимать определенную пространственную позицию (локус) в ней, т.е. определенным образом соотноситься с другими элементами. Такое свойство развито у элементов групповой структуры неравномерно и для сравнительных целей может быть измерено числом – индексом социометрического статуса. Элементы социометрической структуры – это личности, члены группы. Каждый из них в той или иной мере взаимодействует с каждым, общается, непосредственно обменивается информацией и т.д. В то же время каждый член группы, являясь частью целого (группы), своим поведением воздействует на свойства целого. Реализация этого воздействия протекает через различные социально-психологические формы взаимовлияния. Субъективную меру этого влияния подчеркивает величина социометрического статуса. Но личность может влиять на других двояко – либо положительно, либо отрицательно. Поэтому принято говорить о положительном и отрицательном статусе. Статус тоже измеряет потенциальную способность человека к лидерству. Чтобы высчитать социометрический статус, необходимо воспользоваться данными социоматрицы.
Индекс социометрического статуса i-члена группы определяется по формуле:
где Ci – социометрический статус i-члена, Ri – полученные i-членом выборы, ∑ – знак алгебраического суммирования числа полученных выборов i-члена, N – число членов группы.
Возможен расчет Ci+ – положительного и Ci– – отрицательного статуса в группах малой численности (N).
Индекс эмоциональной экспансивности j-члена группы
Индекс эмоциональной экспансивности j-члена группы высчитывается по формуле:
где Ej – эмоциональная экспансивность j-члена, R – сделанные j-членом выборы (+, –).
С психологической точки зрения показатель экспансивности характеризует потребность личности в общении.
Групповые социометрические индексы
Среди групповых социометрических индексов наиболее важными являются:
- индекс эмоциональной экспансивности группы;
- индекс психологической взаимности в группе (сплоченности группы);
2.1/ Индекс эмоциональной экспансивности группы
Индекс эмоциональной экспансивности группы высчитывается по формуле:
где Ag – экспансивность группы, N – число членов группы.
Индекс показывает среднюю активность группы при решении задачи социометрического теста (в расчете на каждого члена группы). Эта формула позволяет понять, насколько активно члены группы включены в процесс взаимодействия.
Референтные значения индекса эмоциональной экспансивности группы:- Ag = 0: Участники группы вообще не делают выборов (пассивность).
- Ag ≪ 1: Очень низкий уровень активности в группе (напр. 0.06).
- Ag = 1: Средний уровень активности (каждый участник делает в среднем один выбор).
- Ag > : Высокая активность, участники делают больше одного выбора в среднем (напр. 1.7).
- Ag ≫ 1: Очень высокая активность, группа демонстрирует насыщенное взаимодействие ( или больше).
2.2/ Индекс психологической взаимности в группе
Индекс психологической взаимности ("сплоченности группы") в группе высчитывается по формуле:
где Gg – взаимность в группе по результатам положительных выборов, Aij+ – число положительных взаимных связей в группе, N – число членов группы.
Индекс сплоченности показывает удельный вес парных взаимных связей в группе по отношению к теоретически возможному числу такого рода связей.
Референтные значения индекса психологической взаимности в группе:- Gg = 0: Полное отсутствие взаимодействий в группе.
- 0 < Gg ≤ 0.25: Низкая степень взаимодействия внутри группы.
- 0.25 < Gg ≤ 0.5: Умеренная активность взаимодействий.
- 0.5 < Gg ≤0.75: Высокая активность, члены группы активно взаимодействуют.
- 0.75 < Gg ≤ 1: Очень высокая сплочённость и эмоциональная активность.
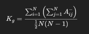
2.3/ Индекс конфликтности
Индекс конфликтности характеризует конфликтный потенциал группы симметричен индексу психологической взаимности и представляет собою индекс отрицательной взаимности, указывает на наличие и степень взаимно отрицающих пар. Присутствие таких пар снижает процессы консолидации структуры, уменьшает способность группы сохранять равновесие.

- Kg = 0: Полное отсутствие конфликтов в группе.
- 0 < Kg ≤ 0.25: Низкая конфликтность. Группа относительно сплочённая, отрицательных выборов мало.
- 0.25 < Kg ≤ 0.5: Умеренная конфликтность. Присутствует заметное напряжение между участниками.
- 0.5 < Kg ≤ 0.75: Высокая конфликтность. Значительная часть членов группы находится в состоянии конфликта.
- 0.75 < Kg ≤1: Очень высокая конфликтность. Группа почти полностью разобщена и характеризуется высокой напряжённостью.
2.4/ Индекс референтности группы (удовлетворённости группы)
Чем выше индекс референтности, тем теснее связи элементов ядра группы, поведение которых определяет процессы выработки чувства общности. Индекс показывает, насколько члены группы удовлетворены своими предпочтениями. Если близок к 1, то большинство предпочтений участников удовлетворено. Если U меньше 1, часть предпочтений осталась неудовлетворённой.
где
сумма взаимно положительных выборов в группе;
сумма положительных выборов в группе.
- U = 0: Участники совсем не удовлетворены своими предпочтениями, выборов в их пользу нет.
- 0 < U ≤0.5: Низкий уровень удовлетворённости, большая часть предпочтений остаётся неудовлетворённой.
- 0.5 < U ≤ 0.75: Умеренный уровень удовлетворённости, предпочтения удовлетворяются частично.
- 0.75 < U ≤ 1: Высокий уровень удовлетворённости, большинство предпочтений реализовано.
- U > 1: Участники группы получили больше положительных выборов, чем сделали, что может указывать на избыточную популярность некоторых членов.